Package Hygiene in Alice
Alice organizes code into packages. All the code for a package goes in OCaml
source files in the package’s src directory. The presence of a main.ml file
indicates that the package is executable, and will be linked into a program
with the same name as the package. The presence of a lib.ml file indicates
that the package is a library, and the contents of the lib.ml file (or
lib.mli file if present) is the public interface to the package.
A package can also be both an executable and a library if it has both a
main.ml and a lib.ml file.
If a package is a library then other packages can depend on it, and access the definitions from its public interface via a module named after the package (but with the first letter capitalized to comply with OCaml’s module naming rules). Alice packages must be named such that capitalizing the first letter of their name gives a valid OCaml module name. I’ll refer to this module as a package module. In Alice, the only way to refer to definitions from a package other than the current package is via the other package`s package module.
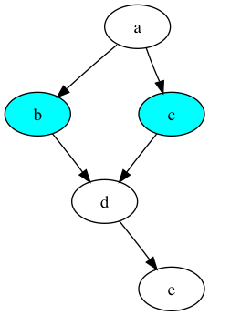
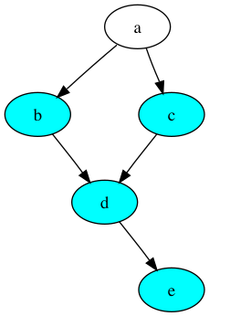
Packages can depend on other packages, which themselves depend on more packages, forming a Directed Acyclic Graph (DAG) where the nodes are packages and edges represent the dependency relationship between two packages.
A package’s immediate dependencies are those packages which it directly
depends on; exactly those packages listed in the [dependencies] section of the
package’s manifest.
The dependency closure of a package is that package’s immediate dependencies, plus the immediate dependencies of all of its immediate dependencies, and so on.
The first graph below highlights in cyan the immediate dependencies of a and
the second graph highlights a’s dependency closure.


Package Hygiene
I’ll introduce the concept of package hygiene which refers to how much of the code from a package’s dependency closure is inaccessible by that package. Let’s call a package management system hygienic if code in one package only has access to code from the public interfaces of its immediate dependencies.
Let’s break this definition down into two properties:
- The only package modules that can be accessed by code in a package are those of its immediate dependencies. It is a compile error for a package to refer to a package module from packages in its dependendcy closure other than those of its immediate dependencies.
- The only definitions which can be accessed inside a package module are those
from the package’s public interface. It’s a compile error for a package to
refer to a definition from a dependency which is not exposed in its public
interface (i.e. the package’s
lib.mlfile).
Package hygiene is a useful property for software maintenance and safety.
The first property means that packages are forced to specify as dependencies, exactly the packages that
they need access to, and are only given direct access to those packages.
Without this property, packages can break due to the removal of
load-bearing transitive dependencies. If a depends on b, and b
depends on c, and a starts referring to c directly without
explicitly adding it as a dependency, then a could break if b ever
removes its dependency on c, or changes the version of c that it
depends on. The maintenance burden on a package ecosystem can be
reduced if the package manager doesn’t let you get into this situation
in the first place.
The second property allows packages to make strong guarantees about correctness, since the only way to interact with a package is through a specific interface. The public interface to a package can be designed to enforce invariants over the types defined in that package, and there’s no way for client code to circumvent the interface to bypass those protections.
Package Hygiene in Dune?
Dune lacks both of the above hygiene properties. This can be demonstrated succinctly with a small project depending on the core package:
(lang dune 3.20)
; dune-project
(package
(name leak)
(depends
ocaml
(core
(= v0.17.1))))
; dune
(executable
(public_name main)
(package leak)
(libraries core))
(* leak.ml *)
let () =
let _ : unit Sexplib0__Sexp_conv_labeled_tuple.Fields.t =
Sexplib0__Sexp_conv_labeled_tuple.Fields.Empty
in
()
This code has access to a module Sexplib0__Sexp_conv_labeled_tuple which
corresponds to the sexp_conv_labeled_tuple.ml file from the package sexplib0,
which is a dependency of the package sexplib, which is a dependency of core.
Opam packages follow a convention of putting their public code
in a module named after the package, and under this convention the
Sexp_conv_labeled_tuple module referred to above isn’t part of the public interface
to sexplib0.
So Dune allows code in a package to access private definitions from non-immediate dependencies, violating both hygiene properties. Dune does have what we might call “soft” hygiene since it renames modules so they are unlikely to be referred to by accident, but someone determined to intentionally violate package hygiene can do so.
Fortunately Dune might be about to get true package hygiene in an upcoming release
thanks to this PR. This uses a
newish option to the OCaml compiler, -H:
-H <dir> Add <dir> to the list of "hidden" include directories
(Like -I, but the program can not directly reference these dependencies)
Had I been aware of -H while doing
the work described below adding package hygiene to Alice, it would have simplified things greatly!
I didn’t notice it because it’s not in the compiler’s man page, though clearly
I didn’t look very hard because it is in the output of -help.
Still, I’ve come
up with a solution that will work with older compilers lacking this feature, and
employs what I think are some interesting techniques to work around the fact
that until the relatively recent addition of -H, the
OCaml compiler did not make it easy to implement hygienic package management.
Why Hygienic Packages in OCaml is (was?) Hard
The compiler has no concept of packages. The compiler compiles OCaml source files into object files, and links object files into executables or library archives. Package managers for OCaml must implement packaging policies (such as hygiene) on top of the primitives made available by the compiler.
OCaml source files may depend on each other. Each file implicitly defines a
module named after the file, and code in one file may refer to modules
corresponding to other files, provided there are no dependency cycles between
files. When compiling a file which refers to a module that isn’t in scope, the
compiler will try to find an object file whose name indicates that it contains the
module in question. The compiler searches for this object file in the same
directory as the file it’s currently compiling, and also in each directory
passed to the compiler with the -I option.
Let’s see how we might implement the first of my two hygiene properties, that only the immediate dependencies of a package may be referred to by that package. A reasonable approach to build a package with the first hygiene property might be:
- Build all the packages in the dependency closure of the package (by recursively applying this strategy), storing the compiled object files in some directory corresponding to their package.
- Build the package, passing with
-Ithe directory containing object files for each immediate dependency of the package only.
Since packages in the dependency closure but which aren’t immediate dependencies are excluded in step 2 above, hygiene is achieved since the package code being compiled doesn’t have access to them.
This gives us the desired hygiene property, however some correct programs
won’t compile with this policy due to module aliases. In OCaml a module
defined in one file may be aliased by another file, but when compiling code
that refers to the aliased module, even indirectly, the directory containing the
original module definition must be passed with -I. Suppose we have packages
a, b, and c, where a depends on b and b depends on c, and the
public interface to b has:
module C_alias = C
If package a refers to B.C_alias, then in order to build a we need to pass
the path to the directory containing c’s object files with -I.
However passing c’s object files with -I would make it possible for a to
refer to c directly, which violates the first hygiene property.
This is where the new -H option might save us. That option acts similarly to -I, in that
it lets the compiler use modules defined in a directory when compiling code that
refers to them, however unlike -I it doesn’t allow code to refer to these
modules directly. So a hygienic approach to building a package using -H
might be to pass the paths to directories containing compiled object files for
immediate dependencies with -I, and for other packages in the dependency
closure with -H, allowing their modules to be used during compilation but not
referred to directly.
Note that the approach above is only sufficient for the first hygiene property. On its own it’s not sufficient to enforce the second hygiene property, to prevent packages from accessing private code from its immediate dependencies.
As I said earlier, I wasn’t aware of -H when implementing hygienic packages in
Alice. Instead I’ve come up with a packaging protocol that enforces both hygiene
properties using some other compiler features and a small amount of generated
code.
Package Hygiene in Alice
In order to resolve module aliases, the object files from each package in the
dependency closure of the package being built must be made known to the compiler
by passing their containing directories with -I. Alice does this in a hygienic
way by generating modules which
shadow
the modules that should be inaccessible.
Compiler Features
Alice’s packaging protocol depends on two compiler options I hadn’t previously
encountered:
-open and -pack.
The -open Some_module option takes a module name Some_module, and when
compiling a file, acts as though the file began with a new line open Some_module. (Read this to
learn more about what it means to open a module in OCaml.)
The -open option can be passed multiple times, resulting in the effect
of multiple open <module> lines being at the start of the compiled file, in the same
order as their corresponding -open options.
The -pack option creates an object file combining a given set of existing
object files, making each of their corresponding modules accessible as
sub-modules. For example:
ocamlopt.opt -pack foo.cmx bar.cmx baz.cmx -o qux.cmx
This creates a new module Qux with the object file qux.cmx. The modules
Foo, Bar, and Baz can now be accessed within Qux as Qux.Foo,
Qux.Bar, and Qux.Baz respectively. Importantly these are not module
aliases. Code accessing the modules via qux.cmx can be compiled
without access to foo.cmx, bar.cmx, or baz.cmx.
When compiling a file that will eventually be passed to
ocamlopt.opt -pack foo.cmx,
it’s necessary to pass an additional option -for-pack Foo, specifying the name
of the module that the file will eventually be packed into as a sub-module.
The Packaging Protocol
To build a package, first recursively apply the process I’m about to describe to build the immediate dependencies of the package, which will result in the package’s dependency closure being built.
The result of building a package is stored across several different directories:
- The package’s private output directory contains the compiled artifacts
corresponding to each source file of the project. There’s a roughly one to one
mapping between
.mlsource files and.cmxobject files. All the object files go in this private output directory. - The package’s public output directory contains a file named
internal_modules_of_<package>.cmx(replacing<package>with the name of the package), which is the output of runningocamlopt.opt -pack ...on all the object files in the package’s private directory. All top-level modules of the package, corresponding to source files, are accessible as sub-modules of theInternal_modules_of_<package>module. There’s a second file in the public directory namedpublic_interface_to_open_of_<package>.cmxwhich is the result of compiling a generated file. This file defines the module that will be-opened when compiling code in packages depending on this package. - The package’s generated output directory, containing the generated
public_interface_to_open_of_<package>.mlfile, that will be compiled to thepublic_interface_to_open_of_<package>.cmxfile in the public directory.
Once all the dependencies of the package have been built, compile each source
file in the package. When compiling a source file, for each package in the
package’s dependency closure, pass that package’s public output directory with
-I. For each of the package’s immediate dependencies, pass -open Public_interface_to_open_of_<dependency>. The file needs to be compiled with the
-for-pack option since it will eventually be packed into a file
internal_modules_of_<package>.cmx. Store the output in the package’s private
output directory.
For example, to compile a source file a.ml from a package named foo, whose
dependency closure is the packages bar, baz, and qux, and whose immediate
dependencies are bar and qux, compile it with:
ocamlopt.opt a.ml -c \
-I path/to/bar/public \
-I path/to/baz/public \
-I path/to/qux/public \
-open Public_interface_to_open_of_bar \
-open Public_interface_to_open_of_qux \
-for-pack Internal_modules_of_foo \
-o path/to/foo/private/a.cmx
Once all the source files from the package have been compiled, create the
internal_modules_of_<package>.cmx file by running the compiler with -pack,
passing it all the object files from the package’s private directory.
Store the result in the package’s public output directory.
Continuing the example, assume the package has source files a.ml, b.ml,
c.ml, and lib.ml (remember lib.ml defines the public interface to the
package). Create the internal_modules_of_foo.cmx object file with the command:
ocamlopt.opt -pack \
path/to/foo/private/a.cmx \
path/to/foo/private/b.cmx \
path/to/foo/private/c.cmx \
path/to/foo/private/lib.cmx \
-o path/to/foo/public/internal_modules_of_foo.cmx
It might seem odd to store the internal modules of a package in its public
output directory. This directory is public in the sense that all packages
depending on this package will have access to the public directory with -I,
however due to shadowing of the Internal_modules_of_<package> module name in
the -opened Public_interface_to_open_of_<package> module, client code won’t actually
have access to the package’s internal modules.
Now generate a file in the package’s generated output directory named
public_interface_to_open_of_<package>.ml. I’ll illustrate this
generated file by continuing the example above:
(* public_interface_to_open_of_foo.ml *)
(* Recall that the public interface to a package is defined in a file
named "lib.ml" which corresponds to a module named "Lib", which is
among the modules packed into the "Internal_modules_of_<package>"
module. Client code must be able to refer to the package by the
package's name, so define a module alias here named after the package,
aliasing the "Lib" module defined in the package. This will allow
client code to refer to the public interface of the package with a
module named after the package. *)
module Foo = Internal_modules_of_foo.Lib
(* Shadow the internal modules of this package. Since the
"Public_interface_to_open_of_<package>" module will be opened by all
client code, defining a new module here named the same as the packed
module of internal modules will mean that if client code does try to
access the internals of this package, instead they get an empty
module. This enforces the second hygiene property, preventing client
code from accessing the private internals of its immediate
dependencies. If someone does try to refer to this shadowed module
anyway, the deprecated annotation will mean they see a compiler
warning. *)
module Internal_modules_of_foo = struct end
[@@deprecated "This module is for internal use only."]
(* Shadow the internal modules of the packages in the dependency
closure of this package. The public output directory of each package
in the dependency closure of this package is passed with -I when
compiling files from packages that depend on this package. Shadowing
the names of the packed internal modules of those packages prevents
access to their internals by clients of this package. *)
module Internal_modules_of_bar = struct end
[@@deprecated "This module is for internal use only."]
module Internal_modules_of_baz = struct end
[@@deprecated "This module is for internal use only."]
module Internal_modules_of_qux = struct end
[@@deprecated "This module is for internal use only."]
(* Shadow the public interface to each of the packages in the
dependency closure of this package, preventing client code from
referring to packages outside their immediate dependencies. This
enforces the first hygiene property. *)
module Public_interface_to_open_of_bar = struct end
[@@deprecated "This module is for internal use only."]
module Public_interface_to_open_of_baz = struct end
[@@deprecated "This module is for internal use only."]
module Public_interface_to_open_of_qux = struct end
[@@deprecated "This module is for internal use only."]
That final batch of module shadowing requires some care.
In the example, foo immediately depends on bar and qux.
But if bar also depended on qux, then inside
Public_interface_to_open_of_bar, we would find the line:
module Public_interface_to_open_of_qux = struct end
That is, bar would shadow the public interface to qux.
When compiling files in foo, if Public_interface_to_bar
is opened before Public_interface_to_qux, then due to module name shadowing,
Public_interface_to_qux will be the empty shadow rather than the
true public interface to the package qux.
To avoid this problem, it’s necessary to sort the -open arguments to
the compiler such that if one dependency depends on another dependency, the
depended upon package comes before the depending package (qux must
come before bar in the example).
Once the public_interface_to_open_of_<package>.ml file is generated,
compile it, storing the result in the package’s public output
directory. The package’s public output directory must be passed with -I since
the generated code refers to Internal_modules_of_<package>.
ocamlopt.opt path/to/foo/generated/public_interface_to_open_of_foo.ml -c \
-I path/to/foo/public \
-o path/to/foo/public/public_interface_to_open_of_foo.cmx
And that’s it! All the necessary files are now in the package’s public output directory where they can be consumed while building any additional packages which depend on the current one.
One final note:
In order to link an executable that depends on packages, library
archives (.cmxa files) must be generated for those packages. To create a
.cmxa file for a package, Alice links the .cmx files in the
package’s public directory. E.g.:
ocamlopt.opt \
path/to/foo/public/public_interface_to_open_of_foo.cmx \
path/to/foo/public/internal_modules_of_foo.cmx \
-a -o path/to/foo/public/lib.cmxa
To learn more, try compiling some interdependent Alice packages. See
here for
a brief tutorial on building packages with Alice. Run alice build -vv to see a
list of all the commands run by Alice, and inspect the contents of the build
directory to see the different output files created when building each package.